A hyper elastic material has four available models: NEO-HOOKIAN, ARRUDA-BOYCE, OGDEN and MOONEY-RIVLIN. The parameters for a hyper elastic material are shown in the figure and table below.
Figure 8.85: Properties of a hyper elastic material
| Parameter | Symbol | Description | Dimension (Range) |
| 1. C10 |
![]() | Use to set the elastic constant which corresponds to the Young's modulus for a linear material [NEO-HOOKIAN, MOONEY-RIVLIN]. |
Force/Length^2 (Real≥0) |
| 2. D |
![]() | Use to set the incompressibility parameter to determine the penalty of a volume constraint. As this value becomes smaller, the volume constraint is tighter. When a flexible body with hyper elastic material is contacted with the other body, the Motion solver sometimes has a small step size. In this case, if this value is large, the step size can be increased [All Models]. |
N/A (0<Real≤1) |
| 3. Mu |
![]() |
Use to set the elastic constant which corresponds to the shear modulus in a linear material [ARRUDA-BOYCE, OGDEN]. Note: Be careful not to confuse the material constant |
Force/Length^2 (Real≥0) |
| 4. Lambda |
![]() | Use to set the locking stretch [ARRUDA-BOYCE]. |
N/A (Real) |
| 5. List | N/A | Use to show the material parameters. The maximum number of the parameter set is six [OGDEN]. | N/A |
| 6. Operators | N/A | Use to add a parameter set, or modify or delete the selected set [OGDEN]. | N/A |
| 7. Alpha |
![]() | Use to set the elastic constant [OGDEN]. |
N/A (Real) |
| 8. C01 |
![]() | Use to set the 2nd elastic constant which corresponds to the Young's modulus in a linear material [MOONEY-RIVLIN]. |
Force/Length^2 (Real≥0) |
As with Equation 8–74, the strain energy of a hyper elastic material can be expressed as shown in the table below with the parameters as described in the table above.
Figure 8.86: Strain energy of a hyper elastic material
| Model | Formulations |
| NEO-HOOKIAN |
![]()
where
![]()
The relationship between Initial Shear Modulus
![]()
|
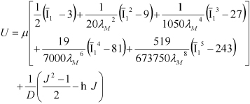
| ARRUDA-BOYCE |
![]()
where |
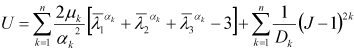
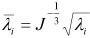
| OGDEN |
![]()
where
![]()
In the equation for strain energy shown above, the terms for
In the form of the above formula, the following relationship is established.
|
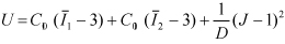
| MOONEY-RIVLIN |
![]()
where The relationship between Initial Shear Modulus
|






























