Commonly used plasticity models for ratcheting are based on the von Mises yield criterion and a kinematic hardening rule. The von Mises yield criterion for kinematic hardening is:
(31–1) |
where is the isotropic hardening yield stress, and
is the center of the yield surface which is a function of the stress
tensor
and backstress tensor
:
The backstress tensor results in a shifting of the yield surface in stress space. A bias in this shift over repeated loading causes the progressive accumulation of plastic strain (ratcheting).
Experimental data and the curve-fitting tool are used to determine a set of material parameters for the Chaboche kinematic hardening model (For details, see Chaboche nonlinear kinematic hardening model). The Chaboche Kinematic Hardening material model option in Workbench allows up to five kinematic models for each temperature. For this problem, three models are used, as it provides sufficient variation to calibrate the nonlinear behavior of the material and can account for ratcheting behavior.
The following related topics are available:
Chaboche [1, 2] proposed the decomposed kinematic hardening model, expressed as:
(31–2) |
(31–3) |
where:
Each of the backstress terms of the Chaboche model have the form of an
Armstrong-Frederick rule, where the parameters represent a plastic modulus and
serve as the parameters for history dependence. For accurate
ratcheting predictions, specify at least three components [3].
For a stable hysteresis of strain-controlled cyclic loading, the solution for the backstress in the uniaxial direction is:
(31–4) |
(31–5) |
where:
The uniaxial yield stress is the sum of the initial yield stress and the backstress component in the uniaxial direction, expressed as:
(31–6) |
Using Equation 31–4 and Equation 31–5
for plastic strains at or near the strain limit , Equation 31–6 for a third-order Chaboche
model becomes:
(31–7) |
The model requires six material parameters: C1, γ1, C2, γ2, C3, and γ3 as well as the initial yield stress, σ0.
The parameters must be determined so that the model closely matches the material behavior. One method for doing so is to obtain data from stabilized strain-controlled and stress-controlled ratcheting experiments and use that data with the curve-fitting tool to determine material parameters that minimize the error between the data and the model predictions.
The nonlinear curve-fitting method used by the curve-fitting tool is an iterative process and often requires initial values for each of the material parameters. The success and quality of the fit depends on how far the initial values are from the values that give a good fit. A procedure that uses stabilized hysteresis stress-strain data to determine a good estimate for the initial parameters is described.
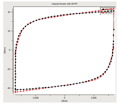
Stabilized hysteresis stress-strain data is obtained by cycling a specimen under strain-controlled loading with symmetric tension-compression amplitude. A cyclically stabilized hysteresis response is achieved when a cycle of stress-strain response remains unchanged through subsequent cycles.
The following figure shows a typical stable strain-controlled hysteresis curve:
Three distinct regions are noted. Part 1 is the initial onset of yielding, Part 2 is the knee of the hysteresis curve, and Part 3 is the constant modulus segment.
For fitting purposes, the individual components of backstress for the model (α1, α2, and α3) are chosen to represent the three regions of the strain-controlled stable hysteresis loop. In each region, the corresponding Ci is chosen to approximately match the plastic modulus. The γi parameters are chosen to accommodate the history dependence defined by Equation 31–4 and the relationship defined by Equation 31–7.
Using the described heuristic method, you can estimate seed values for the initial material parameters to obtain a good quality fit by following these guidelines:
σ0 is the initial yield stress of the material.
C1 is the slope in Part 1 of the stress-strain curve at the transition from elastic to plastic deformation. The value of C1 is often of approximately the same order as the Young's Modulus.
By Equation 31–4, the evolution of α1 follows an inverse exponential variation and asymptotes at a maximum value of C1 / γ1. The magnitude of γ1 determines how rapidly α1 asymptotes. γ1 should be large enough that the exponential term quickly diminishes so that α1 is approximately constant outside of Part 1.
C2 determines the slope of Part 2 of the curve. Its value is often approximately an order of magnitude smaller than C1.
Following the guidelines from step 3, γ2 is calculated using C2 so that the value of α2 asymptotes to C2 / γ2 before part 3 of the curve.
C3often represents the linear slope of the stress-strain curve in Part 3. In such a case, γ3 is assigned a small value (1 to 10) to model the linear evolution of α3. C3 can be calculated from the slope of part 3 of the curve with respect to the plastic strain.
This procedure was developed from a trial-and-error method used to fit the material parameters [4] and usually gives a set of initial parameters that allows the curve-fitting tool to obtain a good fit.
The initial yield stress of the material is generally known, and in this problem, it is fixed and does not affect the error minimization performed by the curve-fitting tool.
γ3 is chosen as a small positive value because it does not enter into the closed-form equations Equation 31–4 through Equation 31–7, and experience indicates that this is generally a good choice. While the fitting procedure iterates to a value of γ3 that best fits the data, this value is often difficult to estimate based on stabilized hysteresis strain-controlled data. While small variations in the value of γ3 often do not significantly influence the cyclic stress strain behavior, it may strongly affect ratcheting behavior of the material. To investigate its influence on ratcheting strain evolution, a numerical study can be performed by varying the value of γ3 and selecting a value that gives expected ratcheting strain (See Fitting the Ratcheting Strain).
Although the procedure for estimating the initial material parameters was developed for stabilized hysteresis strain-controlled data, it can be applied to a single cycle of stress-controlled data; however, the quality of the resulting fit should be checked carefully.
The curve-fitting tool provides a comparison of the data used for fitting and the model's prediction. It is good practice, however, to compare the experimental data with a simulation of the entire experimental load history to validate the fitted parameters as shown in the following figure.

