As shown in the figure below, properties such as Enable, Damping and so on can be defined in the Mode sub-entity window. General Sub-Entity Properties have been introduced in Figure 8.18: General properties of sub-entity pages and toolbar and the special properties are shown in the table below.
Figure 8.94: Mode properties
| Parameter | Symbol | Description | Dimension (Range) |
| 1. Damping Option |
![]() |
Use to set the damping coefficients of selected modes as shown in the Figure 8.95: Mode Damping Option figure below. There are two options - Damping Coefficient and Stiffness Proportional Ratio - to determine the damping coefficient. When Damping Coefficient is selected, the value of the damping coefficient can be directly defined. When Stiffness Proportional Ratio is selected, the damping coefficient can be defined as follows.
![]()
where |
Force*Time/Length (Real≥0) |
| 2. Operators | N/A |
Use to display a mode shape. The
![]()
where |
N/A (Real≥0) |
| 3. Enable | N/A | When this option is selected, the selected modes will be enabled. Otherwise, when the option is cleared, the selected modes will be disabled. When the mode is created, the rigid body modes are disabled by default. The disabled modes cannot be included in the simulation. | N/A |
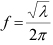
| 4. Frequency |
![]() |
Use to show the natural frequencies which are calculated from the eigenvalues as follows.
![]()
where |
N/A (Real) |
| 5. Eigenvalue | N/A | Use to show the eigenvalues. |
N/A (Real) |
| 6. Damping |
![]() | Use to show the damping coefficient which is calculated based on the Damping Option field. |
Force*Time/Length (Real≥0) |
















