VMFLGPU005
VMFLGPU005
Turbulent
Natural Convection Inside a Tall Cavity
Overview
| Reference |
P.L. Betts, I.H. Bokhari. "Experiments on turbulent natural convection in an enclosed tall cavity". International Journal of Heat and Fluid Flow, Vol. 21, pp. 675-683, 2000 | |
| Solver | Ansys Fluent GPU | |
| Physics/Models | Turbulent flow, buoyancy effects, Boussinesq approximation | |
| Input File |
|
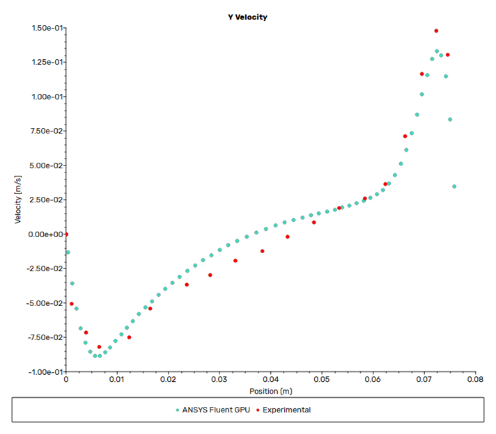
Test Case
Natural convection in the turbulent flow field of an enclosed cavity with a length-to-width ratio of 28.6 is modeled. The Rayleigh number is in the turbulent range. The two vertical walls are kept at different temperatures, while the horizontal walls are adiabatic.
| Material Properties | Geometry | Boundary Conditions |
|---|---|---|
|
Density : Boussinesq approximation Specific Heat = 1005 J/kg-K Viscosity = 1.81X 10-5 kg/m-sec Molecular weight = 28.966 |
Length of the cavity = 2.18 m Width of the cavity = 0.0762 m |
Temperature of Cold wall = 288.25 K Temperature of Hot wall = 307.85 K Top and bottom walls are adiabatic |


