VMFLGPU004
VMFLGPU004
Anisotropic
Conduction Heat Transfer
Overview
| Reference | |
| Solver | Ansys Fluent GPU |
| Physics/Models | Heat conduction, anisotropic conductivity |
| Input File | vt004.msh.h5, vmfl004.jou, 3d.csv |
Test Case
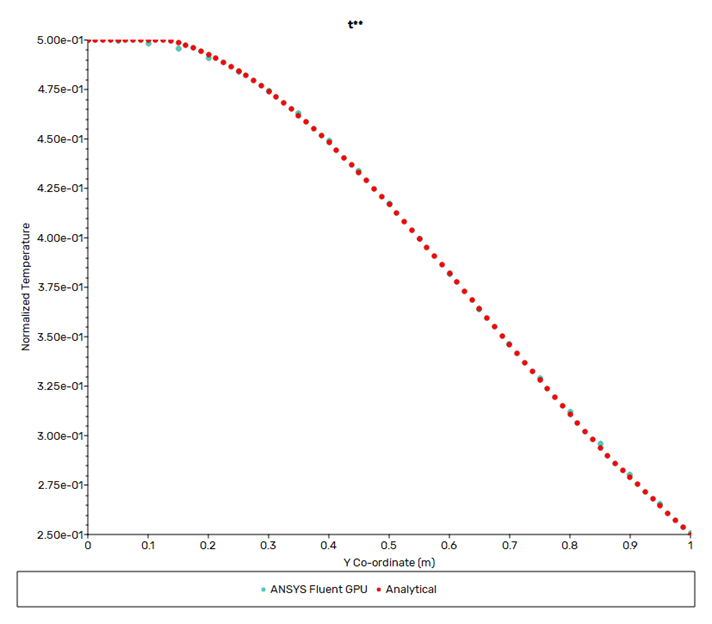
Heat conduction in a solid with anisotropic thermal conductivity is modeled. Two opposite walls are maintained at uniform temperatures. Conductivity of the solid material is specified using matrix components to account for the anisotropy. The simulation results are compared with analytical solution for temperature distribution.
| Material Properties | Geometry | Boundary Conditions |
|---|---|---|
|
Density of solid = 2719 kg/m3 Specific heat = 871 J/kg-K Thermal conductivity: Anisotropic |
Dimensions of the domain: 1 m x 1 m |
Fixed wall temperatures = 100 K and 200 K respectively User-defined profile for temperature distribution on the other two walls |

