VMFL037
VMFL037
Turbulent
Flow Over a Forward Facing Step
Overview
| Reference | S. Baker. “Regions of Recirculating Flow Associated with Two-Dimensional Steps”. Ph.D. Thesis. Department of Civil Engineering, University of Surrey. UK. 1977. | ||
| Solver | Ansys Fluent, Ansys CFX | ||
| Physics/Models | SST model, turbulent flow with separation and reattachment | ||
| Input File |
| ||
| Project Files | Link to Project Files Download Page |
Test Case
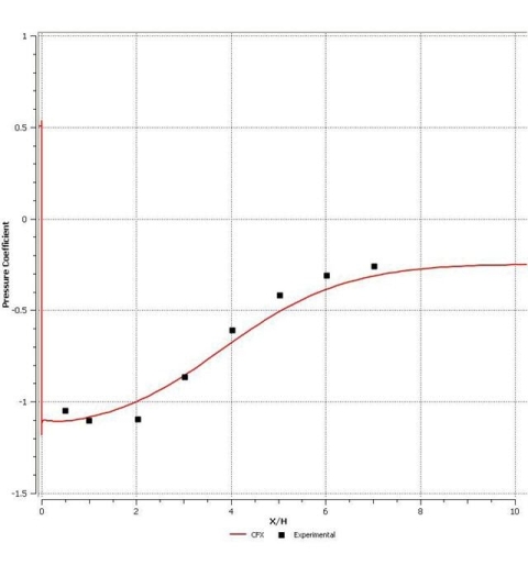
Turbulent flow over a forward facing step is modeled. The flow undergoes separation and reattachment.
| Material Properties | Geometry | Boundary Conditions |
|---|---|---|
|
Density = 1.02 kg/m3 Viscosity = 1.5 X 10-5 kg/m-s |
Step height H = 0.0758 m |
Inlet Velocity = 9.7 m/s Outer boundary (in transverse direction) is modeled as slip wall |
Analysis Assumptions and Modeling Notes
The flow is steady. Pressure coefficient, Cp on the wall is calculated with reference to the pressure at point upstream of the step at coordinates as indicated in Figure 94: Flow Domain.
