VM-WB-MECH-104
VM-WB-MECH-104
Topology Optimization Benchmark Problem for Cantilever with End Load
Overview
| Reference: | Miguel A. Ochoa, S. Ivvan Valdez, Salvador Botello, Victor Cardoso. "Topology Optimization Benchmark I. Results for Minimum Compliance and Minimum Volume in Plane Stress Problems." 09.03.2016, I-16-01 (CC). Centro de Investigacion en Matematicas, A.C., Departamento de Ciencias Computatcionales Jalisco S/N, Col. Valenciana CP 36240 Guanajuato Gto., Mexico Technical Report, submitted on March 8, 2016 7.1: Cantilever with Load at Center (CLC). |
| Solver(s): |
Ansys Mechanical and Topology Optimizer |
| Analysis Type(s): | Static Structural and Topology Optimization |
| Element Type(s): | PLANE183 |
Test Case
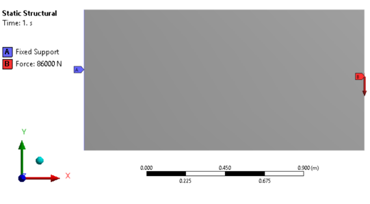
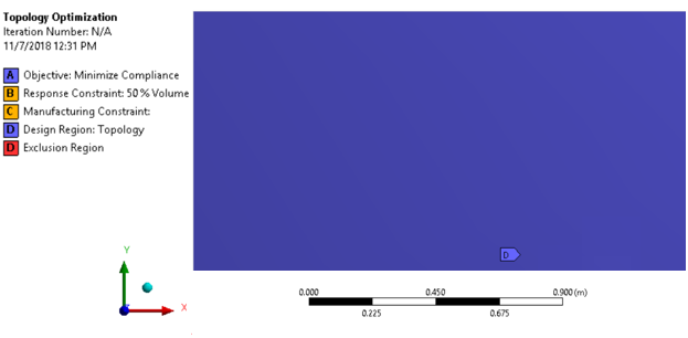
A cantilever beam of dimensions 2 m X 1 m is fixed at one end and a Force of 86000 N is applied on the center edge of beam (0.1 m) in a static structural analysis using plane stress. The model is optimized with the objective to minimize the compliance while using a volume constraint to keep 50 percent volume.
| Material Properties | Geometric Properties | Loading |
|---|---|---|
| ASTM A-36 steel | Length L = 2 m |
Exclusion Boundary Condition = None |
|
Young’s modulus E = 2.11e11 Pa | Width B = 1 m |
Volume Response Constraint = 50% |
| Poisson’s ratio | Thickness | Minimum Member Size = 0.05 m |
| Mass density | ||
| Yield Stress |
Analysis Assumptions and Modeling Notes
The problem is solved using 2-D plane stress 8-node quadrilateral elements (PLANE183). To standardize the thickness and to fulfill the hypothesis of plane stress, the thickness used should be 1 percent of the maximum length size; in this problem, the thickness used for the surface body is 0.01 X 1 = 0.01 m. A minimum member size of 0.05 is specified.


