The aspect ratio for triangles is calculated using the triangle interior angles. For each triangle node (corner node, not mid node), a nodal aspect ratio, r, is defined as:

Where, α is the interior angle at the node.

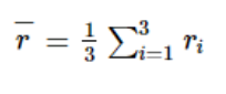
The mean nodal aspect ratio of a triangle is defined as:

Where,
is the nodal aspect ratio of
the
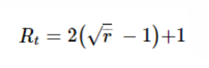
The aspect ratio of the triangle is defined as:

For Explicit Physics Preference, Aspect Ratio (Height) is calculated as:
