VM-LSDYNA-WB-006
VM-LSDYNA-WB-006
Projectile with Air Resistance
Overview
| Reference: | Marion, J. B. & Thornton, S. T. (1988). Classical Dynamics of Particles & Systems(3rd ed.). Saunders College Publishing. 60-63. |
| Analysis Type(s): | Explicit Dynamics with Workbench LS-DYNA |
| Element Type(s): | Solid Elements |
| Input Files: | Link to Input Files Download Page |
Test Case
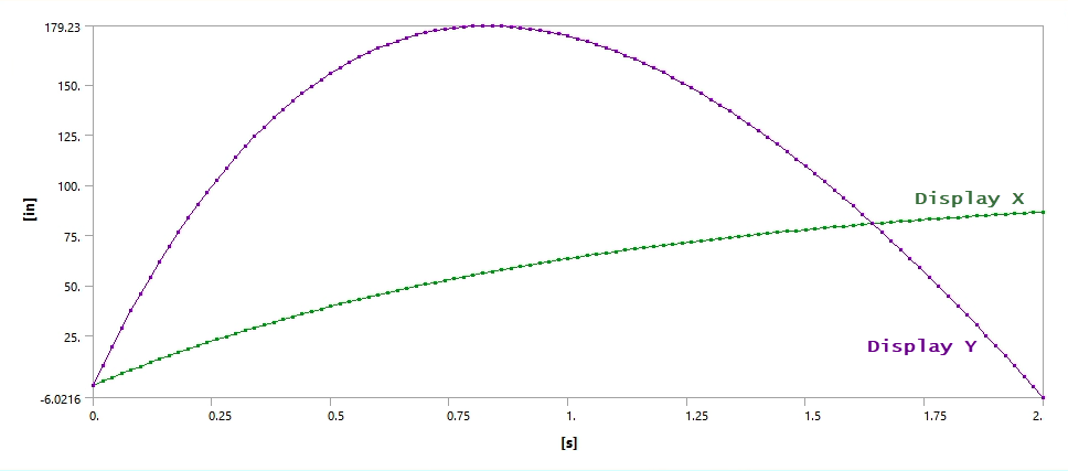
A projectile is subjected to gravity and air resistance loading. The total travel time and travel distance are calculated for an assumed initial velocity and air resistance proportionality constant, k.
| Material Properties | Geometric Properties | Loading | ||
|---|---|---|---|---|
| Projectile
Density = 1.0 lb-sec2/in4 Modulus of Elasticity
Poisson's Ratio = 0.30 Air Resistance (Viscous Damping) Alpha Damping Used,
|
Projectile Volume = 1 in3(1 in x 1 in x 1 in) |
The acceleration due to gravity is ay = 386.4 in/s2 in the y-direction. The initial velocity in the x-direction is Vxi = 100 in/s2, and the initial velocity in the y-direction is Vyi = 500 in/s2. |
Analysis Assumptions and Modeling Notes
The acceleration due to gravity is ay = 386.4 in/s2 in the y-direction. The initial velocity in the x-direction is Vxi = 100 in/s2, and the initial velocity in the y-direction is Vyi = 500 in/s2.
The material properties are abitrary, as they have no effect on the results of interest. As outlined in the reference (Marion et al., 1988), the force due to the air resistance is assumed to be proportional to the mass, m, and the velocity, v, according to:
where k is a constant of proportionality. If the initial projectile velocity in the x-direction is U, and the initial projectile velocity in the y-direction (vertical) is V, and the acceleration due to gravity is g, then the x and y-direction projectile displacements are given by:
For a projectile fired from the ground, the total travel time, T, before returning to the ground, is given by the transcendental equation:
For simplicity, the k in this analysis is assumed to equal one. This produces a theoretical total travel time of T = 1.976 seconds, and a total x-direction travel distance of 86.138 inches. In the analysis, the total travel time and the total x-direction travel distance are estimated by linear interpolation between two time points. This is because, after the initial condition, there is no time point in the solution when y-location of the projectile is exactly zero, but a close estimate is obtained by interpolation between two time points in the solution.

