VMFLGPU008
VMFLGPU008
Radiative Heat Transfer in a Rectangular Enclosure with Participating
Medium
Overview
| Reference | G.D Raithby, E.H. Chui. “A Finite Volume Method for Predicting a Radiant Heat Transfer in Enclosoures with Participating Media”. Journal of Heat Transfer. Volume 112, pp. 415-423, 1990 |
| Solver | Ansys Fluent GPU |
| Physics/Models |
Radiation modeling, discrete ordinate model |
| Input File |
vt008.cas.h5, vmfl008.jou
|
Test Case
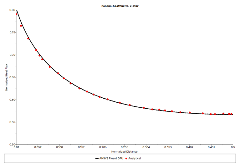
Radiative heat transfer in an enclosure with one hot wall and three cold walls at equal temperature is modeled. The enclosure is a cavity with a length-to-width ratio of 5. For the problem being considered, σsLy = 1.0, where σs is the scattering coefficient and Ly is the normal distance between the hot wall and the cold wall opposite to it.
| Material Properties | Geometry | Boundary Conditions |
|---|---|---|
|
Scattering coefficient = 0.5/m |
Dimensions of the domain: 10 m x 2 m x 0.5 m |
Temperature of the hot wall = 200 K Temperature of the cold walls = 100 K |


