VMFL069
VMFL069
Two Phase
Poiseulle Flow
Overview
| Reference |
E. Marchandise, J.F. Remacle, “A stabilized finite element method using a discontinuous level set approach for solving two phase incompressible flows”, Journal of Computational Physics, Vol 219, pp. 780-800, 2006 | |
| Solver | Ansys Fluent | |
| Physics/Models |
Steady flow, laminar, two phase | |
| Input File |
| |
| Project Files | Link to Project Files Download Page |
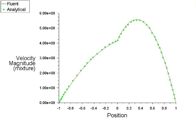
Test Case
This test case considers the horizontal stratified Poiseulle flow of two fluids between parallel walls. The interface between the two phases is located at half of the height of the channel.
| Material Properties | Geometry | Boundary Conditions |
|---|---|---|
|
The two fluids have the same density. Kinematic Viscosity Fluid-1 = 0.1 Fluid-2 = 0.02 |
Dimensions of the domain: 2 m X 4 m |
Periodic Boundary is used with a Pressure Gradient = -0.5 Pa/m. |

