VMFL041
VMFL041
Transonic
Flow Over an Airfoil
Overview
| Reference | P.H. Cook, M.A. McDonald, M.C.P. Firmin. “AEROFOIL RAE 2822 - PRESSURE DISTRIBUTIONS, AND BOUNDARY LAYER AND WAKE MEASUREMENTS.” AGARD Advisory Report No. 138. | |
| Solver | Ansys Fluent | |
| Physics/Models | Transonic flow, shock, SST model | |
| Input File |
| |
| Project Files | Link to Project Files Download Page |
Test Case
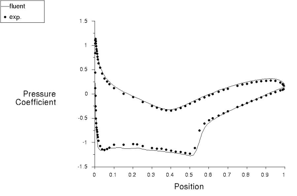
Transonic flow over air foil RAE 2822 is modeled for an angle of attack of 3.19°. The flow domain spans over 100 Chord lengths in both stream-wise and transverse directions.
| Material Properties | Geometry | Boundary Conditions |
|---|---|---|
|
Density: Ideal gas law for Air Viscosity: 1.831 X 10-5 kg/m-s |
Chord length of the airfoil = 1 m |
Velocity profile at inlet with an average velocity of 218 m/s |
