VMFL019

VMFL019
Transient Flow Near a Wall Set in Motion

Overview

Reference

H. Schlichting, K. Gersten, Boundary Layer Theory, 8th Edition, pp. 126-127, 2000

SolverAnsys Fluent, Ansys CFX
Physics/ModelsUnsteady flow, moving wall
Input File
VMFL019_FLUENT.cas for Ansys Fluent
VMFL019_CFX.def for Ansys CFX
Project FilesLink to Project Files Download Page

Test Case

Flow near a wall suddenly set into motion is modeled. The start up flow is modeled as a transient problem with a constant wall-velocity at t (time) > 0. The flow is highly viscous and the velocity is 0 at t= 0.

Figure 48: Flow Domain

Flow Domain

Material PropertiesGeometry Boundary Conditions

Density = 1000 kg/m3

Viscosity = 1 kg/m-s

Dimensions of the domain: 0.75 m X 0.3 m

Velocity of the moving wall = 0.01 m/s

Gauge Pressure at Inlet = 0 N/m2

Gauge Pressure at Outlet = 0 N/m2

Analysis Assumptions and Modeling Notes

The pressure based solver is used in Ansys Fluent. Pressure boundaries are specified to model the driving head in the direction of flow. The fluid is at rest initially (t = 0). The similarity parameter is defined as:

Where ν is the kinematic viscosity.

Results Comparison using Ansys Fluent

Figure 49: Comparison of Velocity Profile Near the Wall at Outlet

Comparison of Velocity Profile Near the Wall at Outlet

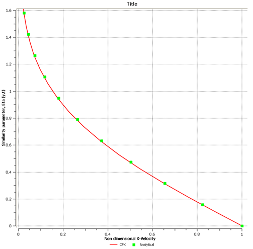
Results Comparison using Ansys CFX

Figure 50: Comparison of Velocity Profile Near the Wall at Outlet

Comparison of Velocity Profile Near the Wall at Outlet