VMFL004
VMFL004
Plain
Couette Flow with Pressure Gradient
Overview
| Reference | B.R. Munson, T.H. Okiishi, W.W. Huebsch, Fundamentals of Fluid Mechanics, 5th Edition, Wiley, 2006 | ||
| Solver | Ansys Fluent, Ansys CFX | ||
| Physics/Models | Laminar flow, moving wall, periodic boundaries | ||
| Input Files |
| ||
| Project Files | Link to Project Files Download Page |
Test Case
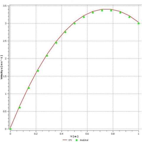
Viscous flow between two parallel plates is modeled. The top plate moves with a uniform velocity while the lower plate is fixed. A pressure gradient is imposed in a direction parallel to the plates.
| Material Properties | Geometry | Boundary Conditions |
|---|---|---|
|
Density = 1 kg/m3 Viscosity = 1 kg/m-s |
Length of the domain = 1.5 m Width of the domain = 1 m |
Velocity of the moving wall = 3 m/s in X-direction For Ansys Fluent, pressure gradient across periodic boundaries = -12 Pa/m For Ansys CFX, pressure gradient across periodic boundaries = -12 Pa/m (pressure change = –18 Pa) |
Analysis Assumptions and Modeling Notes
The flow is steady and laminar. Periodic conditions with specified pressure drop are applied across the flux boundaries.

