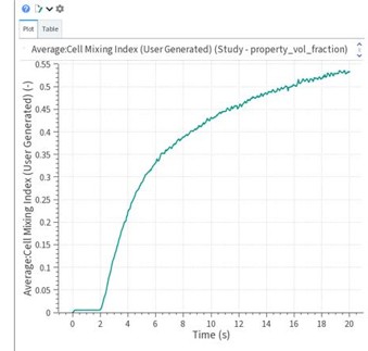
This script compute the Mixing Index (MI) for particulate systems containing multiple materials. The method quantifies the degree of homogeneity of a granular bed after simulation processing.
Script Details
When running this script in a case that contains results, a new user input window will be prompted (as shown below) and the following input is necessary:
Avaliable geometries: Select the geometry where the particle bed is located.
The Mixing Index:
evaluates local uniformity per spatial cell
compares local composition against the global target composition
produces a dimensionless indicator
allows both spatial and global mixing assessment
Mathematical Formulation
The formulation follows the method proposed by Govender (2023)[1] and can be applied to Rocky particle statistics exported per spatial cell (bins).
The calculation follows these steps:
Script Output
Table 8.1: Typical interpretation
| MI value | Meaning |
|---|---|
| ~0 | Segregated |
| ~0.5 | Partially mixed |
| ~1 | Ideally homogeneous |

