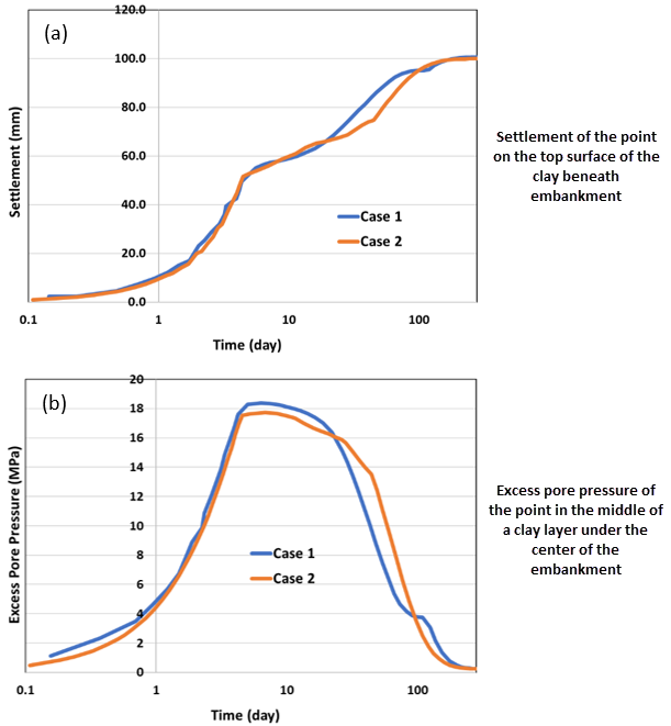
In the following figure, (a) shows the settlement of Point 1 on the top surface of the clay layer (underneath the embankment layers). As expected, the displacement of the point of interest increases gradually over time, then reaches steady state at approximately day 200.
Also shown (b) is the time-history evolution of the excess pore pressure of Point 2 (in the middle of the clay layer under the center of the embankment). Excess pore pressure increases during the construction of embankment layers, and dissipates gradually after the end of embankment construction. Results from both cases indicate a similar prediction of settlement and pore-pressure evolution.
As shown in the following figure, the pore pressure increases at a rapid rate from the beginning to the end of construction (4.5 days):
At 280 days, the pore pressure is in equilibrium with the self-weight.
The following figure shows the displacement in the Y direction during embankment construction:
The inactive layers have no displacement, meaning that those layers have no influence on the settlement of the clay layer during the steps in which they are inactive.
Also notice the gradual settlement of the clay layer. During the 1.5-day consolidation steps associated with activating the embankment layers, the clay layer undergoes a gradual settlement process (where the portion of its top surface underneath the embankment descends gradually).
As shown in this figure, excess pore pressure increases during the construction of the embankment:
Excess pore pressure dissipates gradually after the construction of the embankment is completed at 4.5 days.



