Understanding the Display Source Parameters
This page describes the parameters to set when creating a Display Source.
Contrast Ratio
The Contrast Ratio is a characteristic of any display. It corresponds to the ratio of the luminance of the brightest pixel (white color) to that of the darkest pixel (black color).
The higher the contrast ratio, the better the colors will appear.
An Infinite contrast ratio considers the brightest pixel at 255 255 255 and the darkest pixel at 0 0 0.
Standard contrast ratios range from 500:1 to 1000:1 for a LCD.
Intensity Distribution
The Intensity Distribution describes the emission pattern of a light source. You can choose among different distribution profiles:
- A Lambertian emission ensures that the source has a uniform distribution. The source theoretically distributes the same amount of light in every direction and has, therefore, the same luminance whatever the observation angle is.
- With a Cos distribution, the intensity follows the cosine law. The higher the intensity, the narrower the intensity diagram will appear. You can modify the order of the law to make the rays converge or diverge.
- A gaussian distribution follows a gaussian function and can be symmetric or asymmetric.
- Intensity files are data measured files that provide an accurate intensity profile.
- iesna (*.ies)
- eulumdat (*.ldt)
Lambertian Distribution
A lambertian source evenly distributes light in every direction of the half space. The deflection angle(θ) corresponds to the total angle of emission of the light source.
|
I = A * cos(θ) A: Intensity in propagation axis θ: Deflection angle |
![]() |
| Radiation laws and relative intensity diagram, characteristic of a lambertian source emitting on a half sphere. | |
A source with a lambertian distribution has the same luminance whatever the observation angle is, as illustrated below:
![]() |
![]() |
| Set-up of emissive source with three radiance sensors. | Radiance map of the lambertian source set-up above. The Luminance is constant no matter the angle of observation. |
- you can limit the emission cone of your surface source. Output light is set to 0 cd, for deflection angles (θ) bigger than half the Total Angle.
- a lambertian source with a total angle set to 0 degree has parallel rays.
Cos - Lambert's Cosine Law
The Lambert's cosine law basically states that the illumination of a surface is proportional to the cosine of the angle between the direction of the incident light and the surface normal.
The cos distribution follows a cosines law at nth order.
The N parameter sets the order of the cosines law.
|
I = A * cosn(θ) A: Intensity in propagation axis θ: Deflection angle n: Order of cos law |
![]() |
| Radiation laws of cos function. | Radiation diagram at 2nd, 3rd, 4th and 5th order compared to a lambertian distribution. The higher the intensity, the narrower the intensity diagram will appear. |
A source with cos distribution has a luminance varying according to the observation angle, as illustrated below:
![]() |
| Radiance map of the Cos source |
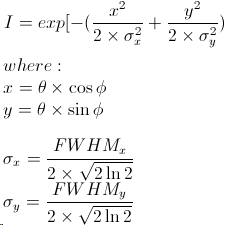
Gaussian Distribution
The intensity distribution of a source can follow a gaussian distribution.
![]() |
![]() |
![]() |
|
| Gaussian distribution laws and relative radiations distribution of gaussian compared to a lambertian distribution. | |
The Full Width At Half Maximum (FWHM Angle) is used to describe the width of a curve at half its maximum amplitude. It means that the source reaches half its power potential between (0°) the normal of the emitting surface and the FWHM.
It allows you to alter the emission profile of the light source.
_Source_FWHM.png)
- a small FWHM value tends to restrain and concentrate the light beam.
- a large FWHM value results in a broader, more widespread light emission.
| FWHM = 15° | FWHM = 45° | |
|---|---|---|
| Total Angle = 20° | ![]() |
![]() |
| Total Angle = 75° | ![]() |
![]() |
If the source is symmetric, then the FWHM Angle is the same on both axes.
If the source is asymmetric, the FWHM Angle can be edited on X and Y.
- Global axis: The orientation of the intensity diagram is related to the axis system.
- Local axis: The orientation of the intensity diagram is related to the normal at the surface.
If no axis is selected, the axis system is considered local.
![]() |
![]() |
_Source_Lambertian_Distribution.png)
_Source_Setup_Source_Radiance_Sensors.png)
_Source_Lambertian_Result.png)
_Source_Cos_Definition.png)
_Source_Cos_Result.png)
_Source_Gaussian_Definition.png)
_Source_Gaussian_FWHM_Definition.png)
_Source_Gaussian_Definition.png)
_Source_Gaussian_FWHM_15_20.png)
_Source_Gaussian_FWHM_45_20.png)
_Source_Gaussian_FWHM_15_75.png)
_Source_Gaussian_FWHM_45_75.png)
_Source_Gaussian_Symmetric.png)
_Source_Gaussian_Asymmetric.png)