Understanding Projection Lens Parameters
This page describes the parameters to set when creating a Projection Lens.
The Projection lens should be seen as a two-sided lens.
The Back face and Front face of the lens can have different shapes or types.
_OPD_Projection_Lens.png)
Construction settings
- Focal point: the focal point allows you to position the lens along the optical axis.
- Optical axis: line that corresponds to the light direction after passing through the lens.
- Back Focal Length: the back focal length corresponds to the distance between the focal point and the lens' back face.
- Refractive index: pure number that describes how light propagates through that medium. Most transparent materials have refractive indices between 1 and 2. Here the refractive index refers to the index of the lenses' material.
- Orientation axis (beta): The Orientation axis is used when a Face is defined as Zernike, to consider the polar coordinates for the Zernike coefficients.
-
Thickness
- Lens Thickness: size of the central part of the lens.
- Edge Thickness: size of the lens from the back to the front face of the lens.
Face Types
Compatibility Table
The following table provides you with the compatibility between the Front and Back Face types.
| Plan | Aspherical | Automatic | Zernike | |
|---|---|---|---|---|
| Plan | ||||
| Aspherical | ||||
| Automatic | ||||
| Zernike |
Plan
Defining a plan face allows you to create a plano-concave/convex lens.
- Aperture Diameter: diameter of the Front Face or Back Face of the lens.
Aspherics: corresponds to the 29 aspherical coefficients that you can set to adjust the lens or remove the aberrations.
Note: The index 1 is no longer present in the interface as it is always 0. Only edible coefficient are present.
The formula of the aspherical coefficients is
with
αi the ith aspherical value.
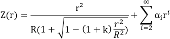
Aspheric
- Aperture Diameter: diameter of the Front Face or Back Face of the lens.
- Curvature: radius of curvature for the spherical part of the Front Face or Back Face of the lens.
- Conic Constant: conic constant of the lens.
Aspherics: corresponds to the 29 aspherical coefficients that you can set to adjust the lens or remove the aberrations.
Note: The index 1 is no longer present in the interface as it is always 0. Only edible coefficient are present.
![]() |
![]() |
|
r: variable corresponding to the position on the lens k: conic constant R: radius of curvature αi: ith aspherical value |
Automatic
- Aperture Diameter: diameter of the Front Face or Back Face of the lens.
-
Refractive Index: refractive index of the lenses' material. This is a pure number that describes how light propagates through that medium. Most transparent materials have refractive indices between 1 and 2. The refractive index impacts how the face of the lens is constructed. Combined with the specified Focal point, and the specified Back Focal Length, it automatically adjusts the shape and curvature of the lens face.
Note: This face type results in a lens without spherical aberration that focuses all rays of a collimated beam on the specified point regardless of whether they are paraxial or marginal. Accordingly, it perfectly collimates all the diverging rays originating from a point source. - Fresnel mode
Constant step: creates grooves of the same length.
Note: Only full grooves are built. If the last groove cannot be built, a flat face appears instead._OPD_Projection_Lens_Fresnel_Constant_Step.png)
Constant height: creates grooves of the same height.
Note: Only full grooves are built. If the last groove cannot be built, a flat face appears instead._OPD_Projection_Lens_Fresnel_Constant_Height.png)
- Draft Angle: angle to respect to be able to remove the lens from the mold when the face is in Fresnel mode. The draft angle should be between 0° and 15°.
Zernike
- Aperture Diameter: diameter of the Front Face or Back Face of the lens.
- Curvature: radius of curvature for the spherical part of the Front Face or Back Face of the lens.
- Conic Constant: conic constant of the lens.
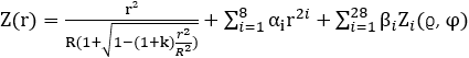
- Aspherics: corresponds to the 8 aspherical coefficients that you can set to adjust the lens or remove the aberrations.
-
Zernike coefficients: correspond to the 28 first Zernike coefficients that you can set to adjust the lens or remove the aberrations.
The Zernike coefficients are ordered according to the Noll convention.
The angle φ is measured counter clockwise from the local +x axis.
The radial coordinate is the normalized dimensionless parameter ρ.
_Zernike_Coefficients.png)
The formula of the zernike coefficients is
with - r: variable corresponding to the position on the lens
- k: conic constant
- R: radius of curvature
- αi: ith aspherical value
- βi: ith zernike coefficient
Construction Type
Revolution
With the Revolution type, the Back Face and Front Face profiles are revolved around the optical axis to create a spherical lens by default or a Custom Revolution axis to create a toroidal lens.
Extrusion
With the Extrusion type, the Back Face and Front Face profiles are extruded along the extrusion axis to create a cylindrical lens.
_Aspherical_Coefficients.png)
_Aspheric_Coefficients_02.png)