[光源 (ダイオード)] (Source Diode)
[光源 (ダイオード)] (Source Diode) モデルは、1 つのダイオード、ダイオードの 1D アレイ、またはダイオードの 2D アレイの定義に使用できます。
パラメータは次のとおりです。


角度分布:
各ダイオードの強度分布は、以下の式で求められます。
ここで、
- θx は、XZ 平面に投影した光線ベクトルが z 軸に対して成す角度です。θx の単位は度です。
- θy は、YZ 平面に投影した光線ベクトルが z 軸に対して成す角度です。 θy の単位は度です。

- l、m、n は光線ベクトルの方向余弦です。
- αx とαy は、それぞれ XZ 平面上と YZ 平面上でユーザーが定義した発散角です (度)。
- Hx と Hy は、それぞれ X 方向と Y 方向の「スーパーガウシアン」係数です。Gx が 1.0 の場合は、典型的なガウス分布の結果になります。Gx と Gy は、どちらも 0.01 以上で 50.0 以下の値とする必要があります。Gx (X 方向のスーパーガウシアン係数) を使用して、超楕円関数を使用した光源 (ダイオード) の角度分布を変更できます。
θfwhm を使用してαx を定義する方法
ほとんどのレーザー ダイオード製造元は、遠視野発散角を、分布の半出力点間の全幅 θfwhm として指定しています。
ガウス分布 (Gx = 1) では、式の左辺を 1/2 I0、θy をゼロにそれぞれ設定し、θx に値 1/2θfwhm を代入します。つづいて、αx を以下の式で算出できます。
または
たとえば、ダイオードの θfwhm が x 方向に 10°の場合、αx の値は 8.493218°になります。同様の変換は、y 方向にも当てはまります。
このモデルで使用する理論上の分布から得られる角度の範囲は無限になります。一方で、90 度を超える極角度には意味がないので、OpticStudio では物理的に意味のある角度が見つかるまで値が再サンプリングされます。その結果、角度幅を指定するガウシアン パラメータが大きくなると、方位角を基準とした分布の非対称性が無視できなくなります。
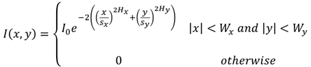
空間分布
- 点、線、矩形領域
非点隔差項がゼロの場合、光線は点、線、または矩形領域から発せられる可能性があります。
光線の光源点の空間分布は、以下の式で求められます。

ここで、
- sx の単位はレンズ ユニットです。
- Hx と Hy は、それぞれ X 方向と Y 方向の「スーパーガウシアン」係数です。Hx が 1.0 の場合は、典型的なガウス分布の結果になります。Hx と Hy は、どちらも 0.01 以上の値とする必要があります。
非点隔差項がゼロでない場合は、空間分布項はすべて無視されます。
- 非点隔差
非点隔差項を定義している場合、空間分布項はすべて無視されます。これは正の値である必要があり、XZ 分布が測定される、ローカル座標の Z 軸に沿った距離を表します。ローカル XY 平面の Z = 0 では、ローカル座標の X 軸方向の線として光線パターンが生成されます。

X 方向および Y 方向のダイオードの数 - X 方向および Y 方向のダイオードの間隔 (レンズ ユニット)。
複数のダイオードが必要な場合は、x 方向の数、y 方向の数、デルタ x 間隔、デルタ y 間隔を定義できます。ローカル座標の原点を基準に、ダイオードが x 方向と y 方向に対称に配置されます。
この光源の定義に使用するパラメータは次のとおりです。
| パラメータ番号 | 定義 |
| 1 ~ 5 | 「すべての光源オブジェクトで共通するパラメータ」を参照してください。 |
| 6 | [非点収差] (Astigmatism) : XZ 分布をオフセットする距離 (レンズ ユニット)。 |
| 7 | 度数単位での X 方向発散 (αx)。 |
| 8 | X 方向のスーパーガウシアン係数 (Gx)。 |
| 9 | 度数単位での Y 方向発散 (αy)。 |
| 10 | Y 方向のスーパーガウシアン係数 (Gy)。 |
| 11 ~ 12 | X 方向および Y 方向のダイオード数。 |
| 13 ~ 14 | X 方向および Y 方向のダイオードの間隔 (レンズ ユニット)。 |
| 15 | 光線が発せられる矩形領域のレンズ ユニットでの X 方向半幅 (Wx)。 |
| 16 | X 方向の空間分布のガウス幅 (sx)。 |
| 17 | X 方向の空間分布のスーパーガウシアン係数 (Hx)。 |
| 18 | 光線が発せられる矩形領域のレンズ ユニットでの Y 方向半幅 (Wy)。 |
| 19 | Y 方向の空間分布のガウス幅 (sy)。 |
| 20 | Y 方向の空間分布のスーパーガウシアン係数 (Hy)。 |
LightningTrace での使用
光源の角度分布は、光源の X 方向と Y 方向の発散角 (パラメータ 7、9)、および X 方向と Y 方向のスーパーガウシアン係数 (パラメータ 8、20) を使用して計算します。光源のサイズと空間分布は無視されます。このため、次の入力パラメータは、LightningTrace の結果に影響を与えません。すなわち、非点隔差 (パラメータ 6)、光源の X 方向と Y 方向の半幅 (パラメータ 15、18)、空間分布の X 方向と Y 方向のガウス幅 (パラメータ 16、19)、X 方向と Y 方向の空間分布のスーパーガウシアン係数 (パラメータ 17、20) です。また、この光源のアレイ パラメータ (パラメータ 11 ~ 14) は、LightningTrace では考慮されません。アレイ パラメータ値とは関係なく、光源はデフォルトで単一のダイオードに設定されます ([光源] (Sources) タブでそれ以外の値を定義した場合はその限りではない)。ダイオードのアレイをモデル化する必要がある場合は、[オブジェクト プロパティ] (Object Properties) ダイアログ ボックスの [光源] (Sources) タブにある [アレイ タイプ] (Array Type) オプションでアレイを定義してください。
次へ :