二极管光源(Source Diode)
二极管光源模型可以用来定义一个二极管、二极管的一维阵列和二极管的二维阵列。
参数为:


角度分布:
每个二级管都具有由以下公式给出的强度分布:
其中
- θx在XZ平面测量,作为投射光线矢量相对于z轴的角度。θx为角度(以度为单位)。
- θy分别在YZ平面测量,作为投射光线矢量相对于z轴的角度。θy为角度(以度为单位)。

- l、m和n为光线矢量的方向余弦。
- 其中,αx和αy为用户自定义XZ和YZ发散角(以度表示),
- Gx为X方向的"超高斯"因子,下标值Y相应的定义与此类似类似。注意,如果Gx为1.0,则生成典型的高斯分布。Gx和Gy均必须同时大于或等于0.01且小于或等于50.0。Gx(X超高斯因子)可使用超椭圆函数来更改光源二极管的角度分布。
如何从θfwhm定义αx?
大多数激光二极管制造商指定远场发散角作为半能量分布全宽处的角度θfwhm。
对于真实的高斯分布(Gx = 1),应将方程式的左边设置为1/2 I0,将θy设置为零,用½θfwhm代替θx,然后对由以下公式给出的αx进行求解:
或者
例如,具有θfwhm的二极管在x方向为10度,αx的值将为8.493218度。类似转换也适用于y方向。
注意,从这个模型中所使用的理论分布可以得出的角度范围是无限的。由于大于90度的极角是没有意义的,因此OpticStudio将重新对值采样,直到找到一个物理上可信的角度。当高斯参数指定角度宽度变大时,这可能导致与方位对称分布间明显的差异。
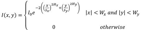
空间分布
- 点/线/矩形区域
如果像散项为零,则光线从一个点,或从一条线或者从一个矩形区域发出。
光线光源点的空间分布由以下公式给出:

其中
- sx以镜头单位进行测量,
- Hx为X方向的"超高斯"因子,下标值Y相应的定义与此类似。注意,如果Hx为1.0,则生成典型的高斯分布。Hx和Hy均必须同时大于或等于0.01。
如果像散项不为零,则忽略所有空间分布项。
- 像散
如果定义了像散项,则空间分布项全部被忽略。此值必须为正数,并且表示从XZ分布测量处沿局部Z轴的距离。在Z = 0的局部XY平面,所得到的光线图形为方向沿局部X轴的直线。

X/Y方向的二极管个数 - X/Y方向的二极管间距,以镜头单位表示。
如果需要多个二极管,则可以定义x方向个数,y方向个数、δx和δy间距。将会在x和y方向围绕局部坐标原点对称放置二极管。
用于定义此光源的参数为:
| 参数# | 定义 |
| 1-5 | 请参阅"适用于所有光源物体的参数"。 |
| 6 | 像散:XZ分布的偏移距离,以镜头单位表示。 |
| 7 | 以度表示的X发散角(αx)。 |
| 8 | X超高斯因子(Gx)。 |
| 9 | 以度表示的Y发散角(αy)。 |
| 10 | Y超高斯因子(Gy)。 |
| 11-12 | X/Y方向的二极管个数。 |
| 13-14 | X/Y方向的二极管间距,以镜头单位表示。 |
| 15 | 发射光线的矩形区域的X半宽(Wx),以镜头单位表示。 |
| 16 | X方向空间分布的高斯宽度(sx)。 |
| 17 | X方向空间分布超高斯因子(Hx)。 |
| 18 | 发射光线的矩形区域的Y半宽(Wy),以镜头单位表示。 |
| 19 | Y方向空间分布的高斯宽度(sy)。 |
| 20 | Y方向空间分布超高斯因子(Hy)。 |
使用LightningTrace
光源的角分布使用光源的X和Y发散角(参数7和9)以及X和Y超高斯因子(参数8和20)进行计算。忽略光源的大小和空间分布。因此,下列输入参数对LightningTrace结果不会产生任何影响:像散(参数6);光源的X和Y半宽(参数15和18);空间分布的X和Y高斯宽度(参数16和19);X和Y空间分布超高斯因子(参数17和20)。此外,LightningTrace不会考虑此光源的阵列参数(11-14);无论阵列参数值怎样,光源默认为单个二极管(除非在"光源"选项卡下另有定义)。如果必须对二极管阵列进行建模,则应通过"物体属性"对话框的光源选项卡下的"阵列类型"选项定义阵列。
下一部分: