Defining Coatings
For dielectric materials, the index of refraction is purely real, and therefore the imaginary part of the index is zero. For metals, the index of refraction is complex.
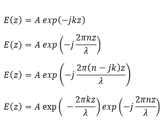
There are two sign conventions in common use for the imaginary part of the index of refraction that comes with the phase propagation factor.
For a wave propagating the positive z-direction, we can use:
- E(z,t) = A cos(wt - kz) and n = n - iK
- E(z,t) = A cos(-wt + kz) and n = n + iK
where n is the usual index of refraction and k is the extinction coefficient.
OpticStudio uses the 1st convention. For example, using the OpticStudio convention, the index of aluminum is approximately given by
K is written as a negative value in the coatings.

Note the extinction coefficient is negative using this convention for typical absorbing materials. This choice of index sign convention is related to the sign convention used by the propagation phase factors, see "Propagation Phase Factors, pc, ps"
For time-harmonic signals, this becomes:

When z increases, the amplitude of the electric field will decrease.
OpticStudio uses a text file format to define all coating data. The file may be of any valid file name. A sample file called COATING.DAT is supplied with OpticStudio, and COATING.DAT is the default coating file name for any new lens. Multiple coating files may be defined, and the name of the coating file use by any particular lens file is defined in the Files section of the System Explorer. It is highly recommended that any modifications to COATING.DAT be saved in a file with a different name, so that subsequent updates to OpticStudio will not overwrite the changes made to COATING.DAT.
In the coating file, the keywords MATE (for material), TAPR (for taper profile), COAT (for coating), TABLE (for coatings defined by a table of points) and IDEAL or IDEAL2 (for ideal coatings) are used to define different types of coating data. All of the material and taper definitions come first, then all of the coating definitions. The materials, tapers, and coatings may be any user defined name up to 32 characters in length. No error message will be given if a name is longer than 32 characters, however it will be truncated. If multiple materials/tapers/coatings/etc. are defined with the same name, then the behavior is undefined, and it is likely that only the first definition will be used.
Next:
- Editing the Coating File
- Coating File Data Syntax
- The MATE Data Section
- The TAPR Data Section
- The COAT Data Section
- Defining Replicated Groups of Coating Layers
- Defining Simple Ideal Coatings
- The ENCRYPTED Data Section
- The IDEAL Data Section
- The IDEAL2 Data Section
- The TABLE Data Section
- Adding Comments to the Coating File
- Limits on the Amount of Coating Data