Biconic
The biconic surface is similar to a toroidal surface, except the conic constant and base radius may be different in the X and Y directions. The biconic surface allows specification of Rx, Ry, Kx, and Ky directly. The sag of a biconic is given by

Where

The radius in the x direction is set in the parameter 1 column. If set to zero, the x radius is interpreted to be infinity.
Modeling an ellipsoid with the Biconic surface
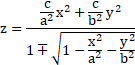
An ellipsoid has different semi-axial-lengths in x, y, and z. If "a", "b", and "c" correspond to the semi-axial-lengths along the x, y, and z-axes, respectively, then an ellipsoid whose vertex is along the z-axis is given by:

The following figure is an image of the ellipsoid:

The formula can be transformed to:

Then, by comparing to the sag formula of the Biconic surface, radius and conics are converted from semi-axial-lengths:
,
,
Note that c, cx, and cy are different parameters. The c parameter is the semi-axial-length in z direction, whereas the cx, and cy parameters are curvatures in x and y directions.
PARAMETER DEFINITIONS FOR BICONIC SURFACES
| Parameter # | Definition |
| 1 | Rx |
| 2 | kx |
Next: