优化MTF(Optimizing for MTF)
基于衍射的MTF操作数(MSWT、MSWS、 MSWA、MTFT、MTFS、MTFA、MTHT、MTHS、MTHA),几何MTF操作数(GMTA、GMTS、GMTT),Moore-Elliott对比度操作数(MECA、MECS、MECT)使软件能直接优化MTF(详见MTF操作数列表的"MTF数据")。
Moore-Elliott对比度方法
这种新的对比度优化方法允许在给定的空间频率下对系统MTF进行高效可靠的优化。该方法可最大限度减小光线对之间的波前差(光线对通过光瞳的偏移而彼此错开,偏移量与目标空间频率相对应),从而使MTF最大化。
可以通过计算复光瞳函数(出瞳中的复波前)的自相关得到给定点的MTF。大多数光学软件都使用这种计算方法,因为与计算全部MTF作为PSF强度的FFT相比,它有更高的计算效率。

自相关计算本质上是一种卷积。它包含偏移复光瞳,偏移和未偏移的光瞳相乘,求和,取模计算得到MTF。
光瞳偏移量对应最终MTF的空间频率值(ξ)。对于圆形光瞳,偏移Δ = D/2使得偏移的光瞳和未偏移光瞳正好相接,使MTF值为0。这个偏移量相当于截止频率。较小的偏移量是通过方程2线性缩放计算得到的。
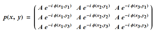
以通用的3x3光瞳函数计算,我们可以写出如下代表偏移与未偏移光瞳的方程式p(x,y)和p(x-Δ,y)。

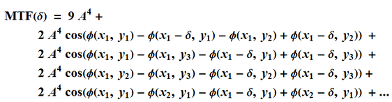
进行卷积计算和取模后,得到余弦级数结果。

式中余弦自变量是距离偏离Δ的光瞳对应的相位差。余弦值自变量最小可使MTF值最大。换言之,光瞳上任何距离Δ的相位差需要最小,才能够获得最大MTF值。
可以用这个方程来建立优化评价函数。计算多组光瞳处相差Δ的两条光线,追迹这两条光束,计算两光束之间的相位差。优化操作尝试将相位差减少到零。类似于减少波前斜率的方法,但它是在与特定空间频率相对应的Δ处进行的优化。
使用MTF操作数
基于衍射的MTF操作数(MSWT、MSWS、MSWA、MSWN、MSWX、MTFT、MTFS、MTFA、MTFN、MTFX、MTHT、MTHS、MTHA、MTHN和MTHX)和几何MTF操作数GMTA、GMTS、GMTT、GMTN和GMTX能直接优化MTF(详见操作数列表的MTF数据)。
这些操作数功能强大,但是使用MTF操作数需要注意一些问题。
如果像差太大,不能精确计算MTF。如果一个光学系统的MTF分析窗口中显示的是无效数据,那么我们优化MTF的时候也是无效优化。较大的像差往往会导致MTF曲线在某些空间频率下降到零,然后在更高的空间频率的MTF再次增加。在MTF曲线的第一个零值点以外频率的MTF的局部优化通常是无效的,因为在像差减小过程中,MTF值必定先减小后增大,而局部优化器总以增量的方式寻找性能提升。如果开始的MTF在目标空间频率超出MTF曲线的第一个零值,则不应使用MTF操作数。如果像差很大,MTF优化在这个阶段其实是不需要的或没有用。一种解决方法是首先使用RMS波前差优化像差。RMS波前差很小的系统才具有合理的MTF性能。在设计非常接近最终形式之后,MTF优化可以用于最后的"修改"。
MTF优化比RMS光斑半径或RMS波前差优化慢。衍射MTF优化比几何MTF优化慢;但是,几何MTF优化只对孔径为圆形或椭圆形、渐晕很小或没有渐晕的系统才近似合理有效。基于惠更斯的MTF优化比RMS优化慢许多数量级,因此不推荐用于优化。当更新评价函数编辑器或进入和退出优化对话框时能明显注意到执行速度很慢,说明该评价函数执行优化的速度也可能会很慢。
注意,如果使用的MTFT和MTFS(或GMTT和GMTS)都采用同一视场和波长数据,它们应该被放置在编辑器中的相邻行;否则,MTF会被计算两次。如果采样太低,或者系统像差太大,无法精确计算MTF,那么MTF操作数会返回零,而不是一个无意义的数字。
下一部分: