离轴圆锥自由曲面(Off-Axis Conic Freeform)

离轴圆锥自由曲面是具有自由多项式项的离轴圆锥表面的和。表面的坐标系是偏心的,并向离轴圆锥的中心倾斜,如下图(y',z')坐标系所示。在离轴部件中心的表面上添加多项式自由曲面项。由这种表面形状定义的镜面的边缘平行于z'轴。

表面矢高可写为:
其中:
R是曲率半径,k是圆锥系数,是沿轴上圆锥的y轴测量的离轴距离,Rn是自由曲面多项式系数的归一化半径。位置坐标x和y在离轴坐标系中。
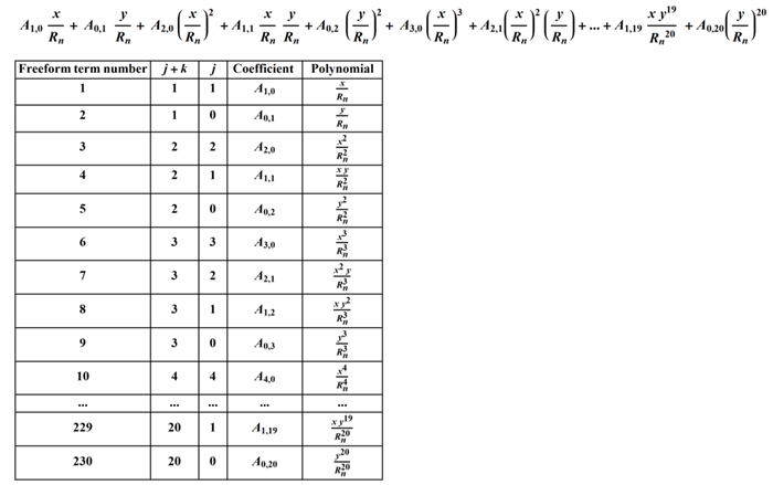
自由曲面多项式允许230项,直到Y20。A0,0项被省略了。系数是按总功率(j+k)递增,然后xj功率递减的方式排列的,如下面的方程和表格所示。注意,多项式系数Aj,k是使用镜头单位,因为(x,y)坐标是无量纲的。

自由曲面系数在镜头数据编辑器中从参数13开始指定。

关于离轴圆锥自由曲面推导和设计示例的更多详细信息,请参阅:Dmitry Reshidko、Jose Sasian,"使用自由曲面设计非对称光学系统的方法",Proc.SPIE 10590,2017年国际光学设计大会,105900V(2017年11月27日)。
下一部分: