定义膜层(Defining Coatings)
对于电介质材料,折射率是一个纯实数,因此折射率的虚部为零。对于金属材料,折射率为复数。
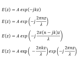
对于相位传播因子附带的折射率虚部,在一般的应用中有两种符号规约。
对于向正z方向传播的光波,可以使用以下规约:
- E(z,t) = A cos(wt - kz) and n = n - iK
- E(z,t) = A cos(-wt + kz) and n = n + iK
其中n为普通折射率,k为消光系数。
OpticStudio使用第一种规约。例如,在OpticStudio规约中,铝的折射率可用如下公式表示:
K在膜层中写为负值。

请注意,使用此规约时,典型吸收材料的消光系数为负数。折射率符号规约的选择与相位传播因子使用的符号规约有关,请参阅传播相位因子pc、ps(Propagation Phase Factors, pc, ps)。
对于时间谐波信号,就变成:

当z增加时,电场的增幅就会下降。
OpticStudio 使用一个文本文件来定义所有的膜层数据。这个文件可以是任何有效的文件名。OpticStudio提供了一个名为COATING.DAT的示例文件,所有镜头的默认膜层文件名称都是COATING.DAT。可定义多个膜层文件,指定镜头的膜层文件名称可以在系统选项(System Explorer)中的文件(Files)部分定义。建议在修改原始膜层文件COATING.DAT以后,将其保存在一个不同名称的文件中,这样后续向OpticStudio的更新就不会覆盖COATING.DAT文件中的修改。
在膜层文件中,关键字MATE(表示材料)、TAPR(表示渐厚轮廓)、COAT(表示膜层)、TABLE(表示由列表定义膜层)以及IDEAL或IDEAL2(表示理想膜层)用于定义不同类型的膜层数据。首先定义所有的材料和渐厚轮廓,然后再定义其他膜层信息。材料、渐厚轮廓和膜层可以是任何用户自定义的名称,最大长度为32个字符。 如果名称长度超出了32个字符,OpticStudio将不会发出错误信息提示,而是直接将其截断,只保留前32个字符。 如果多种材料/渐厚轮廓/膜层都用相同的名称,则行为没有定义,且只使用第一次的定义。
下一部分:
- 编辑膜层文件(Editing the Coating File)
- 膜层文件数据语句(Coating File Data Syntax)
- MATE数据部分(The MATE Data Section)
- TAPR数据部分(The COAT Data Section)
- COAT数据部分(The COAT Data Section)
- 定义重复膜层层组(Defining Replicated Groups of Coating Layers)
- 定义简单理想膜层(Defining Simple Ideal Coatings)
- 加密数据部分(The ENCRYPTED Data Section)
- IDEAL数据部分(The MATE Data Section)
- IDEAL2数据部分(The IDEAL2 Data Section)
- TABLE数据部分(The MATE Data Section)
- 在膜层文件添加注释(Adding Comments to the Coating File)
- 对于膜层数据量的限制(Limits on the Amount of Coating Data)