双锥(Biconic)
除了圆锥常数和底半径在X和Y方向上可能不同外,双锥面类似于圆环面。双锥面允许直接给定Rx、Ry、Kx和Ky。双锥的矢高由下式给出

其中

x方向的半径在参数1列中设置。如果设置为零,x半径被解释为无穷大。
使用双锥面对椭球体建模
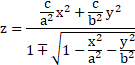
椭球在x、y和z方向具有不同的半轴长度。如果"a"、"b"和"c"分别对应于沿x、y和z轴的半轴长度,则顶点沿z轴的椭球体由下式给出:

下图是椭球体的图像:

此公式可以转化为:

然后,通过比较双锥面的矢高公式,将半径和圆锥曲线从半轴长度转换为:,
,
请注意,c、cx和cy是不同的参数。c参数是z方向的半轴长度,而cx和cy参数是x和y方向的曲率。
双锥面的参数定义
| 参数# | 定义 |
| 1 | Rx |
| 2 | kx |
下一部分: