コーティングの定義
誘電体材料の屈折率は完全に実数になるため、屈折率の虚数部分はゼロになります。金属の屈折率は複素数になります。
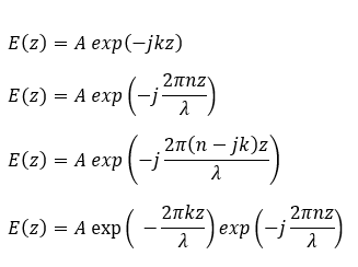
伝搬位相係数を考慮した屈折率の虚数部分の符号には、2 つの規則が広く使用されています。
正の z 方向に伝搬する波では以下の式を使用できます。
- E(z,t) = A cos(wt - kz) および n = n - iK
- E(z,t) = A cos(-wt + kz) および n = n + iK
n は通常の屈折率、k は吸光係数です。
OpticStudio では、1 番目の符号規則を使用します。たとえば、OpticStudio の規則に従えば、アルミニウムの屈折率は、およそ次の式で表されます。
コーティングでは、K を負数で記述します。

この規則を適用する場合、一般的な吸収性材料の吸光係数は負になることに注意してください。このような屈折率の符号規則は、伝搬位相係数に使用する符号規則に対応して選択されています。詳細は、「伝搬位相係数、pc、ps」を参照してください。
時間調和信号では、次の式になります。

z 値が大きくなると、電界の振幅は小さくなります。
OpticStudio では、コーティング データをすべてテキスト ファイル フォーマットで定義します。ファイルには、有効な任意の名前を付けることができます。OpticStudio には、コーティングのサンプル ファイル COATING.DAT が付属しています。COATING.DAT は、すべての新規レンズに適用されるデフォルトのコーティング ファイル名です。コーティング ファイルは、複数個定義できます。特定のレンズ ファイルで使用するコーティング ファイルの名前は、[システム エクスプローラ] (System Explorer) の [ファイル] (Files) セクションで定義します。COATING.DAT に何らかの変更を加えた場合、新しい定義は別の名前のファイルに保存することを強く推奨します。そうすることで、今後の OpticStudio の更新時に、COATING.DAT に加えた変更が上書きされないようにします。
コーティング ファイルでは、MATE (材質)、TAPR (テーパー プロファイル)、COAT (コーティング)、TABLE (データ点の表で定義するコーティング)、IDEAL または IDEAL2 (理想コーティング) のキーワードを使用して、各種コーティング データを定義します。すべての材質およびテーパー定義を最初に記述し、その後にすべてのコーティング定義が続きます。材質、テーパー、コーティングには、最長 32 文字の任意のユーザー定義名を使用できます。 名前が 32 文字を超えてもエラー メッセージは表示されませんが、32 文字に切り詰められます。 複数の材質/テーパー/コーティングなどを同じ名前で定義した場合の動作は未定義であり、おそらく最初に記述された定義だけが使用されます。
次へ :