Defining Anisotropic Tensors

If a material property is anisotropic, its characteristics are defined by its anisotropy tensor. Each diagonal represents a tensor of your model along an axis. These tensors are relative to the coordinate system specified as the object’s Orientation property (when supported). Otherwise, the tensors conform to the global Cartesian coordinate system. By specifying different orientations, several objects can share the same anisotropic material but be oriented differently. Spherical and Cylindrical tensors must be converted to Cartesian coordinates, as described below. In such cases you must specify the coordinate system carefully.

Note: Spatial-dependent material properties are calculated according to coordinates in the ‘Orientation CS’.This CS should be set carefully.

Properties Window. Orientation property highlighted.

Assigning Anisotropic Tensors

To assign anisotropic tensors to Young's Modulus and Poisson's Ratio or Thermal Conductivity:

  1. From the View/Edit Material window, use the Type drop-down menu to select Anisotropic.

    Properties of Material group box. THermal Conductivity selected, type drop down menu open, Anistropic selected.

    Three rows, labeled T(1,1), T(2,2), and T(3,3) appear, as shown below.

    Properties of the Material group box. Various properties highlighted.

    (The preceding images are based on the Thermal solution type.)

  2. For each of the new anisotropic property rows, use the Type drop-down menu to select either Simple or Nonlinear (when supported). This setting determines the type of Value you can enter.
  3. In the Value field, enter the Young's Modulus and Poisson's Ratio or Thermal Conductivity. along each axis of the material’s tensor.
    • For Young's Modulus – Enter the modulus along the direction of each tensor axis. Tensors T(1,1), T(2,2), and T(3,3) correspond to the global Cartesian X, Y, and Z axes, respectively.
    • For Poisson's Ratio – This property quantifies how a strain in one direction produces a strain along an axis 90 degrees from the first axis. Enter the ratio for each axis pair. Tensors T(1,2), T(1,3), and T(2,3) correspond to the global Cartesian axis pairs XY, XZ, and YZ, respectively.
    • For Thermal Conductivity – Enter the thermal conductivity along the direction of each tensor axis. Tensors T(1,1), T(2,2), and T(3,3) correspond to the global Cartesian X, Y, and Z axes, respectively.
  4. Click OK to save the values and return to the Select Definition window.
Cylindrical Anisotropic Material Properties: Tensor Conversion from Cylindrical to Cartesian CS

Mechanical accepts definitions for spatial-dependent martial properties only using definitions in a Cartesian coordinate system. Cylindrical and Cartesian bases are related as

Cylindrical to Cartesian transformation matrix.

where M is a transformation matrix.

Tensors, describing material properties, could be transformed accordingly as

Tensor transformation matrix.

If we assume only the diagonal components as non-zeros for the tensor in the Cylindrical basis

Cylindrical base as a diagonal matrix.

the resulting tensor in the Cartesian basis could be derived as

Derivation of Cartesian coordinates matrix.

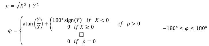
We should define and using X, Y and Z:

Definitions of Ro nad Phi in terms of X and Y.

Related Mechanical Project variables:

Computer definition of ro and phi in terms of X and Y.

Note: The material characteristics close to Z-axis could be slightly incorrect because of uncertainty of in the case of =0.

First you create all required Project variables.

Tabular list of Project Variables

You can then use the variables to create the material.

View/Edit Window. Tensor Propertied dialog box for Relative Permeability open.

For the test case for cylindrical anisotropic material definition, using converted tensors based on variables:

Variable assignment to constants.

For this problem type, consider that scattering on a cylinder where diameter and height are equal to 0.2 wavelength and a plane wave excitation along Z-axis.

3D model of a cylinder withg X, Y, Z vectors.

3D model of cylinder with plane wave excitation along the x axis.

3D model of cylinder with plane wave excitation along the x axis.

Spherical Anisotropic Material Properties: Tensor Conversion from Spherical to Cartesian CS

Mechanical accepts definitions for spatial-dependent martial properties only using definitions in a Cartesian coordinate system. Spherical and Cartesian bases are related as

Spherical to Cartesian transformation matrix.

where M is a transformation matrix

Tensors, describing material properties, could be transformed accordingly as

Tensor tranformation matrix.

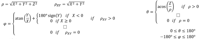
We should define ρ,θ , and φ using X, Y and Z

Ro, theta, and phi defined in terms of x, Y, and Z.

Related Mechanical Project variables

Computer definitions of ro, theta, and phi in terms of X, Y, and Z.

Note: the material characteristics close to the Z-axis could be slightly incorrect because of uncertainty of φ in the case of ρxy=0.

First you must create the necessary project variables.

Project Variables defined in tabular format.

You can then use the variables to create the material.

View/Edit menu with Tensor Proerties dialog box open for relative permeability property.

For the test case:

Variable assignements to constants.

Problem type: scattering on a sphere(diameter is equal to 0.2 wavelength).

Plane wave excitation along Z-axis

3D model of a sphere with Z,Y, Z vectors.

3D model of a sphere with excitation along the Z axis.

3D model of a sphere with excitation along the Z axis.