Specifying a Generic Equalizer Transfer Function, Polynomial Format

A generic equalizer transfer function can be specified using either the pole-zero format or the polynomial format. Standards such as MIPI use a polynomial format for the transfer function. Use the GUI entry fields to enter the coefficients for the numerator and denominator of the function.

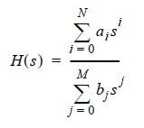
For a polynomial with N+1 degrees in the numerator (coefficients a0, a1, ... aN), and M+1 degrees in the denominator (coefficients b0, b1, ... bM), M >= N, the transfer function is:

Generic Equalizer Transfer Function