The Impulse Response

As a direct consequence of the LTI criteria, an LTI system can be characterized completely by its impulse response. The impulse response h(t) is the output of an LTI system when the input is a Dirac delta function d(t). The Dirac delta function is a distribution that is 0 everywhere except at the origin, where it is of infinite magnitude (Figure 1).

The Dirac Delta Function

Figure 1. The Dirac Delta Function d(t)

In time-domain formulas, the Dirac delta function is the unit impulse.

LTI System

Figure 2. LTI System

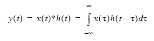
For the overall LTI system, the output y(t) is the convolution (*) of the input signal x(t) and the impulse response h(t):

Output of the overall LTI system