DC Equations

DC Analysis results in steady-state values of the potential, flow, and internal quantities. This means the DC-equations contain no dynamic effects. DC behavior can be described by algebraic equations. In general, they can be derived from the TR equations by setting the temporal derivatives to zero. Expressed in the Jacobian scheme the equation system can be reduced to:

RC Example

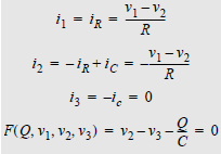
The DC behavior of the RC-combination can be described by the following equations, which were extracted from the TR-equations:

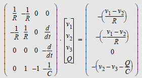
Using the symbolic operation the equation system results to (E2):