Decision-Feedback Equalization

Decision-Feedback Equalization (DFE) is set up in the Eye Probe. Receiver DFE corrects for inter-symbol interference (ISI) from previous bits on the interpretation of the current bit.

Eye Probe parameters specify values for logic 1, logic 0, and the default threshold voltage. The decision-feedback equalizer applies the threshold to determine the logic value (0 or 1) of each incoming bit. The DFE keeps the results of the decision on the state of previous bits, and applies a set of tap weights to compensate for ISI at rising and falling transitions.

As in FFE, the number of DFE taps determines the number of unit intervals over which equalization is to operate. The DFE knows what the transmitted voltage level of a 0 or 1 should be. For each decoded bit, the DFE can calculate the deviation of each received bit voltage on the ideal voltage. The DFE weights are applied to compensate for the deviations. In a classical DFE, the sum of the tap weights multiplied by the corresponding bit errors is added to the received voltage of the current bit before it is sent to the decoder. Instead, the Circuit solver applies the sum of the weighted tap values to the threshold voltage.

The DFE weights can be automatically calculated using an algorithm similar to the algorithm used for FFE. Alternatively, supply the DFE weights directly. No normalization is applied to the DFE weights in either case.

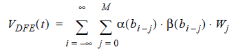
Formula for DFE Output

While the FFE taps work toward canceling ISI both before the UI (precursors) and after the UI (post-cursors), DFE taps are limited to canceling post-cursors, because of the need to make a decision on a bit before its effect can be dealt with.

Like FFE, DFE is applied only at transitions (rising and falling edges). Using the notation introduced earlier for FFE, function a is 1 for transitions and 0 for non-transitions, while function b is +1 for rising edges and -1 for falling edges. DFE tap locations start at location 0, the current bit. The formula for the output voltage with M taps of DFE is as follows.

The formula for the output voltage with M taps of of DFE.

(8)

DFE Examples

Figure 1 shows the Quick Eye analysis of the same high-speed serial channel shown in Figure 8, but with 4 taps of DFE. The abrupt edges are produced when the DFE adjusts the decision threshold.

Quick Eye analysis of a high-speed serial channel with 4-taps of DFE.

Weights automatically calculated for DFE by the Circuit solver are (0.10439, 0.05148, 0.03139, and 0.02215)

Figure 2 shows the VerifEye analysis of the same high-speed serial channel shown in Figure 10, but with 4 taps of DFE.

VerifEye analysis of a high-speed serial channel with 4-taps of DFE.

Weights automatically calculated for DFE by the Circuit solver are (0.10439, 0.05148, 0.03139, and 0.02215)

Decision-feedback equalization is set up in the Eye Probe, using the DFE_TAPS, DFE_LOCS, DFE_WEIGHTS (or DFE_WEIGHT_LBS and DFE_WEIGHT_UBS), DECISION_HIGH, DECISION_LOW, and DECISION_THRESHOLD parameters.

Decision-Feedback Equalization with PAM4

When PAM4 modulation is used, the eye diagram report shows three eyes, bounded by the four voltage levels. DFE can be applied to all three eyes in PAM4 transmissions, using a vector of three voltage thresholds to control the decision portion of the algorithm.

Eye diagram report with three eyes, bounded by the four voltage levels.