Calculating the Current along a Wire or Trace
Description
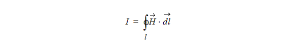
Obtains the full complex current in a wire or trace conductor (e.g., microstrip, stripline) at a specific location by integrating the magnetic field along a closed path encircling the conductor. .
where l is a closed path, which could be a circled line object
Usage Examples
To find the current distribution along a wire (dipole, monopole, etc.) antenna, this calculation could be repeated at periodic positions along the length of the antenna.
Prerequisites
You must create a closed line for the integration path using Draw>Line before beginning calculator operations. The line must be orthogonal to the direction of current flow, should not intersect the wire/trace, and should not be too much bigger than the wire/trace.
|
Calculator Operation |
Resulting Stack Display |
|
Quantity>H |
CVc : <Hx,Hy,Hz> |
|
Complex>Real |
Vec : Real(<Hx,Hy,Hz>) |
|
Geometry>Line...>{select line} |
Lin : Line (line1) (user line name may differ from example) |
|
Tangent |
SclLin: LineValue(Line(...),Dot(Real<Hx,Hy,Hz>), LineTangent)) |
|
|
Scl : Integrate(Line(.... |
|
Complex>CmplxReal |
CSc : CmplxR(Integrate(Line(Line1),Dot(…))) |
|
Quantity>H |
CVc : <Hx,Hy,Hz> |
|
Complex>Imag |
Vec : Imag(<Hx,Hy,Hz>) |
|
Geometry>Line...>{select line} |
Lin : Line (line1) (user line name may differ from example) |
|
Tangent |
ScLin: LineValue(Line(...),Dot(Imag<Hx,Hy,Hz>), LineTangent)) |
|
|
Scl : Integrate(Line(.... |
|
Complex>CmplxImag |
CSc : CmplxI(Integrate(Line(Line1,Dot(…))) |
|
+ |
CSc: (CmplxR(Integrate(Line(Line1),Dot(…))), CmplxI(Integrate(Line(Line1),Dot(…)))) |
|
Eval |
CSc : {complex numerical value} (Final complex current result) |