When HFSS Needs Port Calibration (Deembedding)


Deembedding Extension/Transition Effects

Straight wire model with internal gap ports and reference planes labeled.

Deembedded to the Discontinuity

Straight wire model with internal gap ports, transition errors, and wave ports labeled.

Deembedding Extension/Transition Z-matrix Method (Simplified Approximation)

Circuit diagram


Impedance Matrix Z* is Measured/Simulated

Where Z1 and Z2 are known, then calculate/deembed Z matrix

 

Z Matrix Method

Measured/Calculated

 

Matrix equations

(1)

Dembedded

 

Matrix equations

(2)

 

Matrix equations

(3)

 

Matrix equations

(4)

 

S matrix calculation from the series impedances to be deembedded

Circuit diagram

Formula

Formula for S matrix calculation

(5)*

Where:

Input:

w = width of the lumped port [mm]

len = length of the lumped port[mm]

u = len/w


Output:

L[nH]

*From C.R.Paul, Inductance. Loop and partial, Wiley, 2010

And

 

(6)


Currently, Rs = 0

 

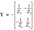
Y matrix

(7)

 

Y prime matrix equation

(8)

 

Y matrix derivation

(9)

 

Impedence equation

(10)

 

Impedance matrix equation

(11)

Z* is the global impedance matrix

Z is the Global impedance matrix after deembedding.