Ohmic Loss for an Eddy Current Solution
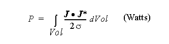
Ohmic loss is given by:
where:
- J is the current density.
- J* is the complex conjugate of the current density.
- s is the conductivity in siemens/meter.
Ohmic loss is used to compute the power loss in a structure (P=I2R).
For impedance boundaries, ohmic loss is given by:
where:
- w is the angular frequency, which is equal to 2pf. (f is the frequency at which source currents and voltages oscillate during the solution.
- s is the conductor's conductivity in siemens/meter.
- mr is the conductor's relative permeability.
- m0 is the permeability of free space, which is equal to 4p x 10–7 H/m.
- Ht is the tangential component of H on the impedance boundary.
- Ht* is the complex conjugate tangential component of H on the impedance boundary.
The ohmic loss density (po) is given by the following:
This loss is calculated from the conduction component of the current density:
For the sake of brevity, the ohmic loss density in the post processor is labeled as Ohmic Loss. The total ohmic loss (po) of an object or the whole arrangement can be calculated by integrating the ohmic loss density over a proper volume in the Field Calculator, as follows: