バイコーニック
バイコーニック面はトロイダル面と似ていますが、コーニック定数と基円半径が、X 方向と Y 方向で異なる場合があります。バイコーニック面では、Rx、Ry、Kx、Ky を直接指定できます。バイコーニックのサグは、以下の式で求められます。

ここで、次の式が成立します。

x 方向の曲率半径は、パラメータ 1 の列で設定されます。ゼロに設定すると、x 方向の曲率半径は無限と解釈されます。
バイコーニック面による楕円体のモデリング
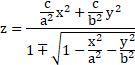
楕円体では、x、y、z 各方向の半軸方向長さが互いに異なります。「a」、「b」、「c」をそれぞれ x、y、z 各軸の半軸方向長さとすると、頂点の方向が z 軸方向と一致している楕円体は次の式で記述できます。

以下に、この楕円体の図を示します。

前式は、次のように変形できます。

つづいて、バイコーニック面のサグの式と比較することで、次のように反軸方向長さから曲率半径とコーニック定数が得られます。,
,
c、cx、cy はそれぞれ異なるパラメータです。パラメータ c は z 方向の半軸方向長さですが、cx と cy はそれぞれ x 方向と y 方向の曲率です。
バイコーニック面のパラメータ定義
| パラメータ番号 | 定義 |
| 1 | Rx |
| 2 | kx |
次へ :