Mechanical Components
The mechanical domain components appear in the Mechanical folder of Physical Domains in the Basic Elements library. The folder provides mechanical basic components to model simple mechanical equivalent circuits. There are two representation forms:
The following table shows the across and through quantities used of the representation forms.
By default, components and wires of the mechanical domain are represented in blue for translational systems and in lilac for rotational systems. The velocity-force components and wires are represented by a darker coloring compared to the displacement-force components. To change the settings of nature colors, choose Tools\Options\Schematic Editor Options, click on the color tab, select Wires as the object type, and the color of wires for different domains can be edited.
Across and Through Quantities of Mechanical Domains
Table 1
|
Representation |
System |
Across |
Through |
Equation |
|
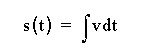
Displacement-Force |
Translational |
s [m] |
F [N] |
|
|
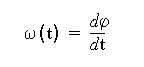
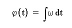
Rotational |
φ [rad] |
M [Nm] |
|
|
|
Velocity-Force |
Translational |
v [m/s] |
F [N] |
|
|
Rotational |
ω [rad/s] |
M [Nm] |
|